NCERT Exercises
Question 1.
(i) Calculate the number of electrons which will together weigh one gram.
(ii) Calculate the mass and charge of one mole of electrons.
Solution.
(i) Mass of an electron = 9.1 × 10-28 g
9.1 × 10-28 g is the mass of = 1 electron![]()
(ii) One mole of electrons = 6.022 × 1023 electrons
Mass of 1 electron = 9.1 × 10-31 kg
Mass of 6.022 × 1023 electrons = (9.1 × 10.31kg) × (6.022 × 1023) = 5.48 × 10-7 kg
Charge on one electron = 1.602 × 10-19 coulomb
Charge on one mole electrons = 1.602 × 10-19 × 6.022 × 1023 = 9.65 × 104 coulombs
Question 2.
(i) Calculate the total number of electrons present in one mole of methane.
(ii) Find (a) the total number and (b) the total mass of neutrons in 7 mg of 14C. (Assume that mass of a neutron = 1.675 x 10-27kg).
(iii) Find (a) the total number and (b) the total mass of protons in 34 mg of NH3 at STP. Will the answer change if the temperature and pressure are changed?
Solution.
(i) One mole of methane (CH4) has molecules = 6.022 × 1023
No. of electrons present in one molecule of CH4 = 6 + 4 = 10
No. of electrons present in 6.022 × 1023 molecules of CH4 = 6.022 × 1023 × 10
= 6.022 × 1024 electrons
(ii) Step I. Calculation of total number of carbon atoms
Gram atomic mass of carbon (C-14) = 14 g = 14 × 103 mg
14 × 103 mg of carbon (C-14) have atoms = 6.022 × 1023
Step II. Calculation of total number and tatal mass of neutrons
No. of neutrons present in one atom (C-14) of carbon = 14 – 6 = 8
No. of neutrons present in 3-011 × 1020 atoms (C-14) of carbon = 3.011 × 1020 × 8
= 2.408 × 1021 neutrons
Mass of one neutron = 1.675 × 10-27 kg
Mass of 2.408 × 1021 neutrons = (1.675X10-27 kg) × 2.408 × 1021
= 4.033 × 10-6 kg.
(iii) Step I. Calculation of total number ofNH3 molecules
Gram molecular mass of ammonia (NH3) = 17 g = 17 × 103 mg
17 × 103 mg of NH3 have molecules = 6.022 × 1023
Step II. Calculation of total number and mass of protons
No. of protons present in one molecule of NH3 = 7 + 3 = 10 .
No. of protons present in 12.044 × 1020 molecules of NH3 = 12.044 × 1020 × 10
= 1.2044 × 1022 protons
Mass of one proton = 1.67 × 10-27 kg
Mass of 1.2044 × 1022 protons = (1.67 × 10-27 kg) × 1.2044 × 1022
= 2.01 × 10-5 kg.
No, the answer will not change upon changing the temperature and pressure because only the number of protons and mass of protons are involved.
Question 3.
How many neutrons and protons are there in the following nuclei?![]()
Solution.

Question 4.
Write the complete symbol for the atom with the given atomic number (Z) and atomic mass (A).
(i) Z= 17, 4 = 35.
(ii) Z= 92, A = 233.
(iii) Z = 4, 4 = 9.
Solution.![]()
Question 5.
Yellow light emitted from a sodium lamp has a wavelength (λ) of 580 nm. Calculate the frequency (υ) and wavenumber
Solution.
Question 6.
Find energy of each of the photons which
(i) corresponds to light of frequency 3 x 1015Hz.
(ii) have wavelength of 0.50 A.
Solution.
Question 7.
Calculate the wavelength, frequency and wavenumber of a light wave whose time period is 2.0 x 10-10 s.
Solution.
Question 8.
What is the number of photons of light with a wavelength of 4000 pm that provide 1 J of energy?
Solution.
Question 9.
A photon of wavelength 4 x 10-7 m strikes on metal surface, the work function of the metal being 2.13 eV. Calculate
(i) the energy of the photon (eV),
(ii) the kinetic energy of the emission, and
(iii) the velocity of the photoelectron (1 eV = 1.6020 x 10-19 J).
Solution.
Question 10.
Electromagnetic radiation of wavelength 242 nm is just sufficient to ionise the sodium atom. Calculate the ionisation energy of sodium in kJ mol-1.
Solution.
Question 11.
A 25 watt bulb emits monochromatic yellow light of wavelength of 0.57 μm. Calculate the rate of emission of quanta per second.
Solution.
Question 12.
Electrons are emitted with zero velocity from a metal surface when it is exposed to radiation of wavelength 6800
Solution.
Question 13.
What is the wavelength of light emitted when the electron in a hydrogen atom undergoes transition from an energy level with n = 4 to an energy level with n = 2?
Solution.
According to Rydberg equation,
Question 14.
How much energy is required to ionise a H atom if the electron occupies n = 5 orbit? Compare your answer with the ionisation enthalpy of H atom (energy required to remove the electron from n = 1
Solution.

Question 15.
What is the maximum number of emission lines when the excited electron of a H atom in n = 6 drops to the ground state?
Solution.
Question 16.
(i) The energy associated with the first orbit in the hydrogen atom is -2.18 x 1O-18 J atom-1. What is the energy associated with the fifth orbit?
(ii) Calculate the radius of Bohr’s fifth orbit for hydrogen atom.
Solution.
Question 17.
Calculate the wavenumber for the longest wavelength transition in the Balmer series of atomic hydrogen.
Solution.
According to Rydberg equation,
Question 18.
What is the energy in joules, required to shift the electron of the hydrogen atom from the first Bohr orbit to the fifth Bohr orbit and what is the wavelength of the light emitted when the electron returnstothegroundstate?Theground state electron energy is -2.18 x 10-11 ergs.
Solution.
Question 19.
The electron energy in hydrogen atom is given by En = (-2.18 x 10-18)/n2 J. Calculate the energy required to remove an electron completely from the n = 2 orbit. What is the longest wavelength of light in cm that can be used to cause this transition?
Solution.
Question 20.
Calculate the wavelength of an electron moving with a velocity of 2.05 x 107 m s-1.
Solution.
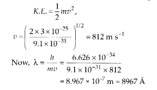
Question 21.
The mass of an electron is 9.1 x 10-31 kg. If its K.E. is 3.0 x 10-25 J, calculate its wavelength.
Solution.
Question 22.
Which of the following are isoelectronic species i.e., those having the same number of electrons?
Na+, K+, Mg2+, Ca2+, S2-, Ar
Solution.
Species Number of electrons
Na+ 11 – 1 = 10
K+ 19 – 1 = 18
Mg2+ 12 – 2 = 10
Ca2+ 20 – 2 = 18
S2-, 16 + 2 = 18
Ar = 18
Thus, Na+, K+, Mg2+, Ca2+, S2-, and Ar have the same number of electrons.
Question 23.
(i) Write the electronic configurations of the following ions:
(a) H–
(b) Na+
(c) O2-
(d) F –
(ii) What are the atomic numbers of elements whose outermost electrons are represented by
(a) 3s-1
(b) 2p3 and
(c) 3p5?
(iii) Which atoms are indicated by the following configurations?
(a) [He] 2s-1
(b) [Ne] 3s23p3
(c) [Ar] 4s23d1.
Solution.
Question 24.
What is the lowest value of n that allows g-orbitals to exist?
Solution.
For g-orbital, l = 4. For a value of n, possible values of l are 0 to n – 1. Thus,
l = 4 = n-1 ⇒ n = 5
The lowest value of n that allows y-orbitals to exist is 5.
Question 25.
An electron is in one of the 3 d orbitals. Give the possible values of n, I and m, for this electron.
Solution.
Question 26.
An atom of an element contains 29 electrons and 35 neutrons. Deduce
(i) the number of protons and
(ii) the electronic configuration of the element.
Solution.
Number of electrons = 29, number of neutrons = 35
(i) We know that Z = c = p
∵ c = 29 ∴ p = 29
(ii) Electronic configuration :
1s22s22p63s23p63d104s1
Question 27.
Give the number of electrons in the species
Solution.
Species Number of electro:
H2 2 (1 + 1 =2)
Question 28.
(i) An atomic orbital has n = 3. What are the possible values of l and m1?
(ii) List the quantum numbers (m, and l) of electrons for 3d orbital.
(iii) Which of the following orbitals are possible?
1 p, 2s, 2p and 3f
Solution.
(i) When n = 3, l = 0, 1, 2
When l = 0, m1 = 0. When l = 1, m1 = -1, 0, +1. When l = 2, m1 = -2, -1, 0, +1, +2.
(ii) For 3d-orbital l = 2, m1 = -2, -1, 0, +1, +2
(iii) For a particular value of n, the allowed values of l are 0 to n – 1 only. Hence, 2s and 2p are the only possible orbitals.
Question 29.
Using s, p, d notations, describe the orbital with the following quantum numbers,
(a) n = 1, l= 0;
(b) n = 3, l = 1;
(c) n = 4, l = 2;
(d) n = 4, l = 3.
Solution.
(a) 1s
(b) 3p
(c) 4d
(d) 4f
Question 30.
Explain, giving reasons, which of the following sets of quantum numbers are not possible,
(a) n = 0, l = 0, m1 = 0, ms = + 1/2
(b) n = 1, l = 0, m1 = 0, ms = -1/2
(c) n= 1, l= 1,m1 = 0, ms = + 1/2
(d) n = 2, l= 1, m1 = 0, ms = -1/2
(e) n = 3, l- 3, m1 = -3, ms = +1/2
(f) n = 3, l= 1, m1 = 0, ms = + 1/2
Solution.
(a) Not possible because n ≠ 0
(c) Not possible because when n = 1, l = 0
(e) Not possible because when n = 3, l = 0, 1, 2, and not equal to 3.
Question 31.
How many electrons in an atom may have the following quantum number?
(a) n = 4,ms = -1/2
(b) n = 3, l=0
Solution.
(a) Total number of electrons in n = 4 is 2n2 = 2(4)2 = 32
But half of these electrons have ms = -1/2
∴ Number of electrons = 16
(b) Number of electrons = 2 [ ∵ 3s subshell]
Question 32.
Show that the circumference of the Bohr orbit for the hydrogen atom is an integral multiple of the de Broglie wavelength associated with the electron revolving around the orbit.
Solution.
Question 33.
What transition in the hydrogen spectrumwould have the same wavelength as the Balmer transition n = 4 to n = 2 of He+ spectrum?
Solution.
Question 34.
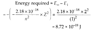
Calculate the energy required for the process![]()
The ionization energy for the H atom in the ground state is 2.18 x 10-18 J atom-1.
Solution.
Question 35.
If the diameter of a carbon atom is 0.15 nm, calculate the number of carbon atoms which can be placed side by side in a straight line across length of scale of length 20 cm long.
Solution.
A carbon atom covers length = diameter of atom = 0.15 nm
= 0.15 x 10-9 x 102 cm = 0.15 x 10-7 cm
∴ Number of carbon atoms which can be placed on 20 cm length
=
Question 36.
2 x 108 atoms of carbon are arranged side by side. Calculate the radius of carbon atom if the length of this arrangement is 2.4 cm.
Solution.
An atom will cover length equal to its diameter.
Diameter of carbon atom =
Radius of carbon atom =
= 0.6 x 10-8 cm = 0.6 x 10-8 x 10-2 m
= 0.06 x 10-8 m = 0.06 nm
Question 37.
The diameter of zinc atom is 2.6 A. Calculate
(a) radius of zinc atom in pm and
(b) number of atoms present in a length of 1.6 cm if the zinc atoms are arranged side by side lengthwise.
Solution.
Question 38.
A certain particle carries 2.5 x 10-16C of static electric charge. Calculate the number of electrons present in it.
Solution.
Charge of one electron = 1.602 x 10-19 C
Number of electrons present =
= 1.56 x 103
Question 39.
In Millikan’s experiment, static electric charge on the oil drops has been obtained by shining X-rays. If the static electric charge on the oil drop is – 1.282 x 10-18 C, what will be the number of electrons present on it?
Solution.
Charge of one electron = -1.602 x 10-19 C
Number ot electrons =
Question 40.
In Rutherford’s experiment, generally the thin foil of heavy atoms, like gold, platinum etc. have
been used to be bombarded by the a-particles. If the thin foil of light atoms like aluminium etc. is used, what difference would be observed from the above results?
Solution.
Lesser number of a-particles will be deflected because nucleus of lighter atoms have smaller positive charge on their nuclei.
Question 41.
Solution.
Question 42.
An element with mass number 81 contains 31.7% more neutrons as compared to protons. Assign the atomic symbol.
Solution.
Question 43.
An ion with mass number 37 possesses one unit of negative charge. If the ion contains 11.1% more neutrons than the electrons, find the symbol of the ion.
Solution.
Question 44.
An ion with mass number 56 contains 3 units of positive charge and 30.4% more neutrons than electrons. Assign the symbol of this ion.
Solution.
Question 45.
Arrange the following type of radiations in increasing order of frequency :
(a) radiation from microwave oven
(b) amber light from traffic signal
(c) radiation from FM radio
(d) cosmic rays from outer space and
(e) X-rays.
Solution.
Question 46.
Nitrogen laser produces a radiation at a wavelength of 337.1 nm. If the number of photons emitted is 5.6 x 1024, calculate the power of this laser.
Solution.

Question 47.
Neon gas is generally used in the sign boards. If it emits strongly at 616 nm, calculate
(a) the frequency of emission,
(b) distance travelled by this radiation in 30 s,
(c) energy of quantum and
(d) number of quanta present if it produces 2 J of energy.
Solution.
Question 48.
In astronomical observations, signals observed from the distant stars are generally weak. If the photon detector receives a total of 3.15 x 10-18 J from the radiations of 600 nm, calculate the number of photons received by the detector.
Solution.
Question 49.
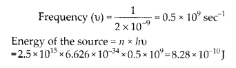
Lifetimes of the molecules in the excited states are often measured by using pulsed radiation source of duration nearly in the nano second range. If the radiation source has the duration of 2 ns and number of photons emitted during the pulse source is 2.5 x 1015, calculate the energy of the source.
Solution.
Question 50.
The longest wavelength doublet absorption transition is observed at 589 and 589.6 nm. Calculate the frequency of each transition and energy difference between two excited states
Solution.
Question 51.
The work function for caesium atom is 1.9 eV. Calculate
(a) the threshold frequency and
(b) the threshold wavelength of the radiation.
(c) If the caesium elements is irradiated with a wavelength 500 nm, calculate the kinetic energy and the velocity of the ejected photoelectron.
Solution.

Question 52.
Following results are observed when sodium metal is irradiated with different wavelengths. Calculate (a) threshold wavelength and, (b) Planck’s constant.
λ(nm) 500 450 400
v x 105 (m s-1) 2.55 4.35 5.20
Solution.

Question 53.
The ejection of the photoelectron from the silver metal in the photoelectric effect experiment can be stopped by applying the voltage of 0.35 V when the radiation 256.7 nm is used. Calculate the work function for silver metal.
Solution.
Question 54.
If the photon of the wavelength 150 pm strikes an atom and one of its inner bound electrons is ejected out with a velocity of 1.5 x 107 ms-1, calculate the energy with which it is bound to the nucleus
Solution.
Question 55.
Emission transitions in the Paschen series end at orbit n = 3 and start from orbit n and can be
represented as
Solution.
Question 56.
Calculate the wavelength for the emission transition if it starts from the orbit having radius 1.3225 nm and ends at 211.6 pm. Name the series to which this transition belongs and the region of the spectrum.
Solution.

Question 57.
Dual behaviour of matter proposed by de Broglie led to the discovery of electron microscope often used for the highly magnified images of biological molecules and other type of material. If the velocity of the electron in this microscope is 1.6 x 106 ms”1, calculate de Broglie wavelength associated with this electron.
Solution.
Question 58.
Similar to electron diffraction, neutron diffraction microscope is also used for the determination of the structure of molecules. If the wavelength used here is 800 pm, calculate the characteristic velocity associated with neutron.
Solution.
Question 59.
If the velocity of the electron in Bohr’s first orbit is 2.19 x 106 ms-1, calculate the de Broglie wavelength associated with it.
Solution.
Question 60.
The velocity associated with a proton moving in a potential differenceof 1000Vis4.37 x 105 ms-1. If the hockey ball of mass 0.1 kg is moving with this velocity, calculate the wavelength associated with this velocity.
Solution.
Question 61.
If the position of the electron is measured within an accuracy of ± 0.002 nm, calculate the uncertainty in the momentum of the electron. Suppose the momentum of the electron is
Solution.
Question 62.
Thequantum numbers of six electrons are given below. Arrange them in order of increasing energies. If any of these combination (s) has l have the same energy lists :
1. n = 4, l = 2, m1 = -2, ms = -1/2
2. n = 3, l = 2, m1= 1, ms =+1/2
3. n = 4, l= 1, m1 = 0, ms = +1/2
4. n = 3, l = 2,m1 = -2, ms = -M2
5. n = 3, l = 1, m1=-1, ms =+1/2
6. n = 4, l = 1, m1 = 0, mss =+1/2
Solution.
1. 4d(n + l = 4 + 2 = 6)
2. 3d (n + l = 3 + 2 = 5)
3. 4p (n + l = 4 + 1 = 5)
4. 3d (n + l = 3 + 2 = 5)
5. 3p (n + l = 3 + 1 = 4)
6. 4p (n + l = 4 + 1 = 5)
Greater the value of n + l, higher will be the energy of orbital. If two orbitals have same n + l value then the orbital having higher n value will possess higher energy.
Therefore, the required order is : 5<2 = 4<6 = 3<1
Question 63.
The bromine atom possesses 35 electrons. It contains 6 electrons in 2p orbital, 6 electrons in 3p orbital and 5 electrons in 4p orbital. Which of these electron experiences the lowest effective nuclear charge?
Solution.
The electron in 4 p orbital experiences lowest effective nuclear charge because it is farthest from the nucleus.
Question 64.
Among the following pairs of orbitals which orbital will experience the larger effective nuclear charge?
(i) 2s and 3s,
(ii) 4d and 4f,
(iii) 3d and 3p.
Solution.
Orbital closer to the nucleus will experience larger effective nuclear charge.
(i) 2s
(ii) 4 d
(iii) 3 p
Question 65.
The unpaired electrons in Al and Si are present in 3p orbital. Which electrons will experience more effective nuclear charge from the nucleus?
Solution.
Si has nuclear charge, Z = 14 while Al has Z = 13. Thus, the electrons of 3p-orbital of Si will experience more effective nuclear charge from the nucleus.
Question 66.
Indicate the number of unpaired electrons in :
(a) P,
(b) Si,
(c) Cr,
(d) Fe and
(e) Kr
Solution.
Question 67.
(a) How many sub-shells are associated with n = 4?
(b) How many electrons will be present in the sub-shells having m5 value of -1/2 for n = 4?
Solution.